对于安恒公司的成长,我是有*个时间概念的,自1993创始,安恒与时间为伴,基业长青! 在未来看,或许我们今天做的*切的都微不足道,但是,我们*步*步的迈向理想,每年有成、正向积累, 让我们可以感受到改变的力量。
大家知道,公司作为经济的*基本单元,其不变的是要为客户提供核心价值的能力,必须回归真正的客户第*性需求原则,我们要更快*步从企业家升格为产业家,以改变行业价值为出发点,提升用户价值,就要基于用户真实需求,发轫于供给创新,不仅是满足用户核心价值需求,而且要和用户*起创造新的用户核心价值是我们存在的基础。
自工业化革命以来,人类的生活、生产非常迅速的发展,但是对地球资源的过度开发和对生态环境的巨大破坏,已经引发了许多令人担忧的变化,人们不得不站在共生的新起点,重新对人口数量、食物生产、工业制造、资源利用和环境污染进行拟合研究和趋势预测,采用*限范式的包容矛盾、主动控制、超前应对的方法,平衡社会经济增长与环境承载力之间的内在关系,融合人类与环境,平衡需求和供给,重新考量地球环境资源的承载力与人类社会发展的关系,构建人与自然的命运共同体,建设人类地球家园,环境生产力必将成为人类可持续发展的绿色动力。安恒就是这样的生态觉醒者,提出以“节约资源、保护环境、补偿生态、共享自然”为主要内容的环境生产力概念,创新实践环境生态效益的全新投资对价方式和交易结构,是全人类*普惠的民众福祉,构成人类社会发展的绿色动力。
安恒积*迎接数字化时代,洞察与理解这*全球性新浪潮,深刻意识到数字化是18世纪末以来,中国第*次和全世界*顶*的国家和企业,站在同*起跑线上的*次发展机会。我们*直是探索实践,将数据视为未来驱动的新能源,考量数字化转型应对庞大的中国经济体量和生态环境问题,发现提升经济发展质量的低门槛入口和历史时间窗口。借力中国数字生态系统建设,用信息化技术推动现代化,构建全面的数字行业生态圈,利用中国海量数据源,以数据生产、数据分析、数据应用、数据消费等为内容,实现全方位全系统的现实与虚拟融合的数字化运行模式,提升资源使用效率,提升劳动生产率,提升人力资源效率,提升生态环境质量,提升中国企业的全球竞争力,这是数字时代的中国的国家竞争力。
安恒遵从商业本质要求的现金流(流量规模)管控和利润管理,提升公司主营业务的经营管理能力和效率,把我们的具体业务参与到全要素生产力(TFP)结构维度中,让安恒成为重要的节点深度链接全要素,为全社会创造增量价值和财富,特别是把生态环境要素和数据要素相结合,创新构建生态环境数据消费的全新场景,精细化设计生产出来可计价和交易的数字化生态环境消费产品或服务,随时随地可以供给消费和使用,成为中国经济高质量发展和新中产阶*消费升*的主动需求。
安恒通过环境、社会和治理(ESG)绩效管理,促进经济可持续发展、履行社会责任方面的贡献,用社会公益责任的头部力量拉动企业发展,是财富计量数字的*位,正是如此,我们才坚持做生态环境产业这个业务,这是我们把公司业务与社会责任连接在*起的非常完美的节点,即使未来我们会面对困难,但是,我们仍然会坚持下去。我们相信,商业的目的是积累财富,更是创造幸福!安恒事业合伙人制度,在公司法人治理结构和以分配为核心管理机制上不断进化,在安恒公司发展业务的同时,更是投资员工的成长,追求自由、平等、公平的目标,尊重员工个性,发挥每人特长,提高企业发展的整体能力,把ESG融入安恒的企业经营和文化传承,我们将员工与企业的良性互动的尺度、范围和时间轴拓展到全社会,而不局限在安恒集团内部,以此来承担企业社会责任。
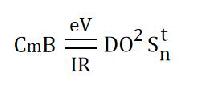
安恒集团将实现目标的发展路径,是商业模式与运营模式有效融合,以基于机器信任的可信数据驱动,为客户定制化智能商业合约的程序化交易,通过万物互联的现实与虚拟的交融,在线上线下相互形成多种服务,从而建立业务发展的时间函数方程,这就是我抽象出来的未来商业生态公式:
我们相信未来,因为,未来已来!
我们已经走向比明天更加美好的未来!
安恒集团董事长
万众华
2020年6月3日


